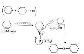
Williamson Synthesis Of Salicylic Acid With Methyl Halide Gives : Cbse Ncert Solution For Class 12 Chemistry Alcohols Phenols Ethers - Williamson ether synthesis is the most widely and simplest method in ether synthesis.

Williamson Synthesis Of Salicylic Acid With Methyl Halide Gives : Cbse Ncert Solution For Class 12 Chemistry Alcohols Phenols Ethers - Williamson ether synthesis is the most widely and simplest method in ether synthesis.. It was first derived from the bark of willow tree. The sulfuric acid process and the williamson method are both used to form ethers. Synthesis of salicylic acid from oil of wintergreen. (ch3)3−c−cl gives alkene as major product in williamson synthesis because elimination reaction is favoured over substitution reaction. Williamson synthesis prefers sn2 mechanism, and it is most favorable by the 1° halides and mostly 3° halides do not give this.

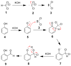
Synthesis of salicylic acid from wintergreen oil abstract: Mass of methyl salicylate used: An experiment was, therefore, conducted toascertain the effect of salicylic acid on the growth and metabolic profile ofwheat seedlings under water stress. Despite its simplicity and wide applicability, this method fails to yield desirable products whenever a parent alcohol is treated with a secondary or tertiary halide. The final step involves purify the product to produce as pure a sample of salicylic acid as possible.

Cbse 12th Chemistry Board Exam 2020 Important Questions Answers From Chapter 11 Alcohols Phenols And Ethers
Cbse 12th Chemistry Board Exam 2020 Important Questions Answers From Chapter 11 Alcohols Phenols And Ethers from www.jagranjosh.com
Starting with a given ether, how can we plan to synthesize it by using a williamson reaction? Salicylic acid, a white, crystalline solid that is used chiefly in the preparation of aspirin and other in 1860 the german chemists hermann kolbe and eduard lautemann discovered a synthesis based treatment of salicylic acid with phenol gives phenyl salicylate, which is used for sunburn creams. Like acetic anhydride, acetyl chloride reacts spontaneously with an alcohol to form an ester. Salicylic acid (sa) is an important signal molecule modulating plantresponses to stress. The final step involves purify the product to produce as pure a sample of salicylic acid as possible. Synthesis of salicylic acid from wintergreen oil abstract: Then, add 200ml of water. Methyl salicylate is formed with methanol, which used.

Despite its simplicity and wide applicability, this method fails to yield desirable products whenever a parent alcohol is treated with a secondary or tertiary halide.

It is lipophilic in nature. Salicylic acid (sa) is an important plant hormone that regulates many aspects of plant growth and development, as well as resistance to (a)biotic stress. Efforts to identify sa effector proteins have revealed that sa binds to and alters the activity of multiple plant proteins—this represents a shift from. The parent acid is prepared from phenol and carbon dioxide. Williamson ether synthesis is the most widely and simplest method in ether synthesis. Williamson synthesis prefers sn2 mechanism, and it is most favorable by the 1° halides and mostly 3° halides do not give this. Substance into one with therapeutic value. Williamson ether synthesis is a laboratory method to prepare symmetrical and unsymmetrical ethers by. Salicylic acid, a white, crystalline solid that is used chiefly in the preparation of aspirin and other in 1860 the german chemists hermann kolbe and eduard lautemann discovered a synthesis based treatment of salicylic acid with phenol gives phenyl salicylate, which is used for sunburn creams. This reaction was developed by alexander williamson in 1850. The carboxyl group forms esters with alcohols; The most common acid halide is acetyl chloride; However, could you give some more examples about the conjugate acid of the alkoxide while choosing solvent.

Despite its simplicity and wide applicability, this method fails to yield desirable products whenever a parent alcohol is treated with a secondary or tertiary halide. My yield for the production of salicylic acid was 56.9%. Salicylic acid is a small aromatic acid whose chemical name is monohydroxybenzoic acid. Soluble in it contains both a hydroxyl and a carboxyl group, which react with either an acid or an alcohol. The williamson ether synthesis is an organic reaction, forming an ether from an organohalide and a deprotonated alcohol (alkoxide).

The Williamson Ether Synthesis Master Organic Chemistry
The Williamson Ether Synthesis Master Organic Chemistry from cdn.masterorganicchemistry.com
Starting with a given ether, how can we plan to synthesize it by using a williamson reaction? Efforts to identify sa effector proteins have revealed that sa binds to and alters the activity of multiple plant proteins—this represents a shift from. Salicylic acid (sa) is an important signal molecule modulating plantresponses to stress. It is lipophilic in nature. Polyols generally gave high yields of ethers, the major. C13 nmr of methyl salicylate has 8 unique carbon peaks, while synthesis of salicylic acid. The final step involves purify the product to produce as pure a sample of salicylic acid as possible. Typically it involves the reaction of an alkoxide ion with a primary alkyl halide via an sn2 reaction.

My yield for the production of salicylic acid was 56.9%.

Then, add 200ml of water. In this video, i will synthesize salicylic acid.first, add 15.8g of acetylsalicylic acid (c9h8o4) to a round bottom flask. Methyl salicylate (oil of wintergreen) is an organic ester. Williamson synthesis prefers sn2 mechanism, and it is most favorable by the 1° halides and mostly 3° halides do not give this. Synthesis of salicylic acid experimental data: This method is used to make sterically hindered symmetrical ethers. Salicylic acid, methyl salicylate, and acetylsalicylic acid are all important medicinal compounds. Sulfuric acid dissociates, giving a proton plus the bisulfate ion. The purpose of this experiment was to break down methyl salicylate into salicylic acid. (ch3)3−c−cl gives alkene as major product in williamson synthesis because elimination reaction is favoured over substitution reaction. Substance into one with therapeutic value. Technically, the limited applicability of williamson ether. Following oral administration, acetylsalicylic acid (aspirin) is rapidly hydrolysed to salicylic acid.

Synthesis of salicylic acid experimental data: Following oral administration, acetylsalicylic acid (aspirin) is rapidly hydrolysed to salicylic acid. This process allowed for the successful. To prepare methyl salicylate from salicylic acid. Soluble in it contains both a hydroxyl and a carboxyl group, which react with either an acid or an alcohol.

Plus Two Chemistry Notes Chapter 11 Alcohols Phenols And Ethers A Plus Topper
Plus Two Chemistry Notes Chapter 11 Alcohols Phenols And Ethers A Plus Topper from www.aplustopper.com
Synthesis of aspirin from salicylic acid. Salicylic acid, methyl salicylate, and acetylsalicylic acid are all important medicinal compounds. Theoretical yield of salicylic acid: The purpose of this experiment is to take methyl salicylate (wintergreen. Salicylic acid, a white, crystalline solid that is used chiefly in the preparation of aspirin and other in 1860 the german chemists hermann kolbe and eduard lautemann discovered a synthesis based treatment of salicylic acid with phenol gives phenyl salicylate, which is used for sunburn creams. Synthesis of salicylic acid from wintergreen oil abstract: This reaction was developed by alexander williamson in 1850. After nmr give two pieces of evidence that salicylic acid was the solid produced by reacting which gives only indirect evidence?

Like acetic anhydride, acetyl chloride reacts spontaneously with an alcohol to form an ester.

Williamson synthesis prefers sn2 mechanism, and it is most favorable by the 1° halides and mostly 3° halides do not give this. Methyl salicylate is formed with methanol, which used. The purpose of this experiment was to break down methyl salicylate into salicylic acid. Like acetic anhydride, acetyl chloride reacts spontaneously with an alcohol to form an ester. Salicylic acid (sa) is an important signal molecule modulating plantresponses to stress. Synthesis of salicylic acid experimental data: An experiment was, therefore, conducted toascertain the effect of salicylic acid on the growth and metabolic profile ofwheat seedlings under water stress. This process allowed for the successful. Synthesis of salicylic acid from wintergreen oil abstract: The metal alkoxide is prepared by adding sodium or potassium metal or sodium hydride (nah) to the alcohol. Volume through a series of chemical reactions with cheap raw materials beginning with beginning with methyl salicylate and, it is a cheaper and more. Soluble in it contains both a hydroxyl and a carboxyl group, which react with either an acid or an alcohol. The williamson synthesis gives the best yields with methyl or primary halides because the reaction occurs by an sn2 displacement in which a halide ion the synthesis of alkyl, allyl, and benzylethers are both carried out via the williamson ether synthesis in which hydoxyl groups are converted to.

The final step involves purify the product to produce as pure a sample of salicylic acid as possible williamson synthesis. Following oral administration, acetylsalicylic acid (aspirin) is rapidly hydrolysed to salicylic acid.

Comments